1 电介质材料
1、Adv. Energy Mater.:多重协同设计获得具有优异储能性能的NaNbO3-(Bi0.5Li0.5)TiO3无铅弛豫铁电电容器
弛豫铁电陶瓷电容器以其优异的储能性能受到广泛关注。然而,实现工业应用所需的理想综合储能特性是极其困难的。
最近,合肥工业大学、安徽工程大学、中国科学院上海硅酸盐研究所和南昌大学的研究人员报道了一种0.68NaNbO3-0.32(Bi0.5Li0.5)TiO3弛豫铁电陶瓷,具有超高可恢复能量密度(Wrec≈8.73 J cm-3)、高效率(η≈80.1%)、超快放电(<85 ns)和温度不敏感的高储能性能(Wrec≈5.73±4% J cm-3,η≈75±6%,25-200℃)。这种陶瓷通过引入不同的极化构型,获得了不同的显微结构。研究人员利用透射电子显微镜和拉曼光谱,从多尺度分析了材料在电场加载/卸载过程中的原位结构演化,揭示了材料具有优异储能性能的结构机理。由于显著的延迟极化饱和,由不同尺度的极性纳米畴和非极性基体组成的局部区域以及随电场保留的局域正交对称性保证了在较宽的电场和温度范围内的类线性极化响应。研究人员还利用X射线衍射、介电性能和选区电子衍射等方法研究了添加(Bi0.5Li0.5)TiO3后NaNbO3中正交铁电相(而非反铁电相)的稳定性。这一工作为NaNbO3基弛豫铁电陶瓷在下一代脉冲功率电容器的应用提供了新的思路。相关研究工作以“NaNbO3-(Bi0.5Li0.5)TiO3 Lead-Free Relaxor Ferroelectric Capacitors with Superior Energy-Storage Performances via Multiple Synergistic Design”发表于Adv. Energy Mater.上。

图1. 储能性能及与各种代表性无铅陶瓷储能性能的对比
论文链接:
https://doi.org/10.1002/aenm.202101378
2、Adv. Funct. Mater.:一种制备具有超高电容性能的可扩展层状高温聚合物电介质的简易原位表面功能化方法
现代功率电子及电气系统对用于电容储能的高温电介质材料提出了迫切需求。然而,由于高温下不可避免的电导损耗大幅削弱了储能性能,使得电介电聚合物在高温下的应用受到严重限制。
最近,西安交通大学、南方科技大学和美国宾夕法尼亚州立大学的研究者提出了一种新的方法,可在聚酰亚胺(Polyimide,PI)薄膜上原位制备氧化物以形成高温层状聚合物电介质材料。模拟计算表明,通过原位制备氧化层,可显著抑制电介质薄膜在电极/电介质界面处的电荷注入和导电性,从而在200℃高温下同时实现超高的介电能量密度(1.59 J cm-3)和高效率(>90%),优于目前已知的介电聚合物和复合材料。这种层状薄膜结构具有良好的放电性能和循环可靠性,是一类很有前途的适用于在高温下工作的大功率储能电容器的聚合物电介质材料,所报道的简便制备方法也可扩展至多种用于极端环境下储能应用的聚合物薄膜的制备。该研究工作以“A Facile In Situ Surface-Functionalization Approach to Scalable Laminated High-Temperature Polymer Dielectrics with Ultrahigh Capacitive Performance”发表于Adv. Funct. Mater.上。

图2. (a)200℃下漏电流密度随外加电场的变化;(b-d)有限元方法模拟的200℃和200 MV m-1下的稳态净空间电荷分布;(e)200℃下的击穿场强和形状参数β;(f)200℃和375 MV m-1下的电位分布和电树枝。
论文链接:
https://doi.org/10.1002/adfm.202102644
3、Adv. Energy Mater.:采用无机核壳纳米填料的高温高能量密度介电聚合物纳米复合材料
先进的电子电力系统对高温高能量密度聚合物电介质材料提出了迫切需求。
近日,重庆大学、美国宾夕法尼亚州立大学和西安交通大学的研究人员开发了一种填充了核壳结构纳米颗粒(由ZrO2核和Al2O3壳组成)的聚醚酰亚胺(Polyetherimide,PEI)复合材料。从ZrO2核和Al2O3壳层到PEI基体建立的介电常数梯度使得纳米颗粒周围的电场畸变大幅减小,从而在不同温度下获得高击穿强度。宽带隙Al2O3壳层在复合材料中形成深陷阱,使其高温下的漏电流密度比纯ZrO2降低一个数量级。相应地,复合材料的放电能量密度达到5.19 J cm-3,优于目前高温电介质聚合物和聚合物复合薄膜材料在10 Hz的性能。此外,随着温度从25℃升高到150℃,核壳结构复合材料表现出良好的热稳定性、充放电效率和能量密度。研究人员还通过有限元模拟和数值计算,揭示了核壳结构对复合材料电场分布和电导的影响。这一研究工作以“High-Temperature High-Energy-Density Dielectric Polymer Nanocomposites Utilizing Inorganic Core-Shell Nanostructured Nanofillers”发表于Adv. Energy Mater.上。

图3. 漏电流密度、综合性能比较及空间电荷分布的模拟结果
论文链接:
https://doi.org/10.1002/aenm.202101297
4、J. Mater. Chem. A:通过空间三明治结构设计策略实现无铅陶瓷优异的储能性能和稳定性
无铅陶瓷具有高功率密度、优异的耐高温性和无毒性,在可持续发展的背景下,在储能应用中发挥着重要作用。然而,由于其极化与击穿强度的矛盾关系,导致无铅陶瓷的能量密度小、能量转换效率低,严重制约了电子元器件向小型化、轻量化发展。
为了克服这一挑战,近期同济大学的研究人员提出一种优化无铅陶瓷储能性能的策略,与传统的氧化物掺杂方法不同,采用新的烧结工艺,对成分进行优化,利用流延技术制备得到了具有空间三明治结构的样品。结果显示,通过这种设计策略,可以很好地解决极化与击穿强度的倒置关系,实现高达6.3 J cm-3的可恢复储能密度、93.61%的高能量转换效率,以及540 kV cm-1的高外加电场,此外还实现了215 MW cm-3的超高功率密度和140 ns的快速放电时间。在105次疲劳循环后,能量转换效率依然大于90%,可恢复储能密度变化在±2%以内。同时,在30℃至160℃的温度范围内,其储能密度的变化也小于±6.5%。该研究有助于促进高能量存储应用的环保陶瓷的发展。相关研究成果以“Excellent energy storage properties and superior stability achieved in lead-free ceramics via spatial sandwich structure design strategy”发表于J. Mater. Chem. A上。

图4. 储能性能及与文献的对比
论文链接:
https://doi.org/10.1039/D1TA02853G
2 热管理材料
1、Nature Electronics:砷化硼冷却基板与氮化镓器件的集成
热管理是现代电子系统的关键。为了改善散热性能,人们开始探索新型的高导热半导体材料,包括砷化硼(boron arsenide,BAs)和磷化硼(boron phosphide,BP)。然而,将这些材料集成到器件中以及测量它们的界面能量传输仍然没有被探索。
近期,UCLA的研究人员展示了BAs和BP冷却基板与金属、宽带隙半导体GaN和高电子迁移率晶体管器件的异质集成。这种GaN-on-BAs结构的边界热导高达250 MW m-2K-1,对器件级热点温度的比较表明,BAs的功率冷却性能优于金刚石器件。此外,使用BAs冷却基板的AlGaN/GaN高电子迁移率晶体管表现出比金刚石和碳化硅在相同晶体管功率密度下低得多的热点温度,展现了其在射频电子设备中优异的热管理应用潜力。研究人员认为BAs和BP的高热管理性能与它们独特的声子带结构和界面匹配有关。该研究成果以“Integration of boron arsenide cooling substrates into gallium nitride devices”发表于Nature Electronics上。

图5. BAs和GaN用于高性能热管理的器件集成
论文链接:
https://www.nature.com/articles/s41928-021-00595-9
3 热电材料
1、J. Am. Chem. Soc.: 通过抑制Sn空位获得性能优异的N型SnTe热电材料
由于体系内部存在大量的本征Sn空位,开发n型SnTe热电材料是一个巨大的挑战。
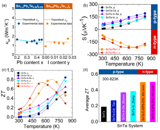
最近,北京航空航天大学的研究人员通过抑制Sn空位,再进行电子掺杂,成功合成了性能优异的n型SnTe热电材料。研究表明,通过Pb合金化可以显著抑制SnTe中的Sn空位,并通过I掺杂引入电子使其电子输运由p型转变为n型。在n型SnTe中,Pb合金化后的导带锐化,载流子迁移率增加,使得电导率增大,而Pb合金化和I掺杂引入缺陷后,通过强声子散射可以降低晶格热导率。由于这些增强效应,n型Sn0.6Pb0.4Te0.98I0.02在573 K达到显著的高热电优值ZTmax~0.8,在300−823 K的温度范围内达到~0.51的平均热电优值ZTave,与许多优异的p型SnTe材料相当。该研究证实,n型SnTe可以通过实验获得,并且是一种适于热电发电应用的很有前途的候选材料,这将推动n型SnTe热电材料及相关器件的进一步研究。相关研究成果以“Realizing N-type SnTe Thermoelectrics with Competitive Performance through Suppressing Sn Vacancies”发表于顶级期刊J. Am. Chem. Soc.上。

图6. n型SnTe的热电性能
论文链接:
https://doi.org/10.1021/jacs.1c02346
2、Mater. Today Phys.:具有本征Nb和Sb空位的名义19电子半赫斯勒化合物NbCoSb的热电性能增强
自2015年具有名义19价电子组成的半赫斯勒(half-Heusler)合金NbCoSb被首次报道以来,因其重掺杂n型半导体表现出中等热电性能,人们就一直在研究其纯相材料的制备。
近期,西华大学和美国休斯敦大学的研究人员首次研究了Nb和Sb缺陷对NbCoSb相组成和热电性能的影响。结果表明,当材料组成中Nb、Sb含量稍微不足时,可以获得纯相材料,本征空位缺陷对材料的热电性能有显著影响。在973 K时,Nb0.97CoSb0.99的热电优值ZT增加了一倍,最大ZT值为0.8,这得益于杂质相的消除和载流子浓度的优化。该工作证明了引入空位缺陷是改善某些半赫斯勒合金,特别是名义19电子半赫斯勒化合物热电性能的有效方法。该研究以“Enhanced Thermoelectric Performance of Nominal 19-electron Half-Heusler Compound NbCoSb with Intrinsic Nb and Sb Vacancies”发表于Mater. Today Phys.上。

图7. (a)热电优值zT随温度的变化;(b)与不同NbCoSb基热电材料zT值的比较
论文链接:
https://doi.org/10.1016/j.mtphys.2021.100450
3、Mater. Horiz.:用于热电材料快速筛选的电子输运描述符
通过数据驱动筛选和高通量计算相结合,可以加速发现用于热电能转换的新型材料。提高成功筛出候选材料的效力的一种方法是使用输运描述符对其进行评估。热电材料的能带结构(如能带简并度、更低的有效质量)等一般性原则已被大家熟知,然而,难以计算的载流子弛豫时间等常常被忽略,这主要是因为缺乏对散射时间精确而快速的计算。
最近,新加坡科技研究局(Agency for Science, Technology and Research,A*STAR)的研究人员及其合作者通过数据驱动筛选,选择了三方晶系ABX2家族中的12个潜在候选材料,然后根据第一性原理进行了电荷输运性质模拟。研究表明,这些材料中的载流子散射过程主要由离子化杂质和极性光学声子所控制,与通常假设的声子主导散射相反。利用这些数据,研究人员进一步导出了载流子迁移率和热电功率因数的基态输运描述符。除了低载流子质量,高介电常数被发现是高载流子迁移率的重要因素,由此建立了介电常数与输运性能之间的二次关系,并用文献进行了进一步验证,结果显示介电常数有可能作为提高热电性能的独立判据。结合对热导率的计算,研究人员还指出三方晶系ABX2家族在中温范围内具有被用作高性能热电材料的潜力。这项研究成果以“Electronic transport descriptors for the rapid screening of thermoelectric materials”为题发表于Mater. Horiz.上。

图8. ABX2材料的输运描述符
论文链接:
https://doi.org/10.1039/D1MH00751C
4 半导体制造材料
1、Sci. Adv.:面向全光刻有机电子学的纳米互穿半导体光刻胶
全光刻技术具有高分辨率、高可靠性和工业兼容性等优点,是一种很有前途的有机电子工业制造技术。然而,由于缺乏具有高图形分辨率、迁移率和在光刻溶液工艺中保持性能稳定的半导电性光刻胶,它的应用受到限制。
近期,复旦大学的研究人员及其合作者开发了一种具有纳米互穿结构的半导体光刻胶。光刻后,纳米结构交联网络与半导体聚合物的连续相相互渗透,可实现亚微米图形精度和具有高热力学稳定性的紧密分子堆积。在显影剂和剥离剂中浸泡1000 min后,迁移率达到光交联有机半导体的最高值,并几乎保持在100%左右。这种光刻胶优异的综合性能使得全光刻技术成为可能。基于该技术,研究人员制作了密度高达1.1×105 units cm-2的有机逆变器和高密度晶体管阵列,比传统印刷工艺大1-4个数量级。这一技术为制造高度集成的有机电路和系统开辟了一条新途径。相关研究工作以“A comprehensive nano-interpenetrating semiconducting photoresist toward all-photolithography organic electronics”发表于Sci. Adv.上。

图9. 半导体光刻胶SP-1的光刻
论文链接:
DOI: 10.1126/sciadv.abg0659
文字 | 科研与产业部战略研究办
编辑 | 综合管理部文宣办
